找回密码
 立即注册
搜索
查看: 5830|回复: 0

180nm 工艺低噪声 SPAD

[复制链接]

396

主题

715

帖子

4815

积分

论坛元老

Rank: 8Rank: 8

积分
4815
发表于 2021-9-28 17:45:34 | 显示全部楼层 |阅读模式
本帖最后由 maver 于 2021-9-28 17:46 编辑

IEEE Journal of Selected Topics in Quantum Electronics 发表 EPFL 和 KIST 论文“ A Low-noise CMOS SPAD Pixel with 12.1 ps SPTR and 3 ns Dead Time ”,作者 Francesco Gramuglia、Ming-Lo Wu、Claudio Bruschini、Myung-Jae Lee 和 Edoardo查邦。
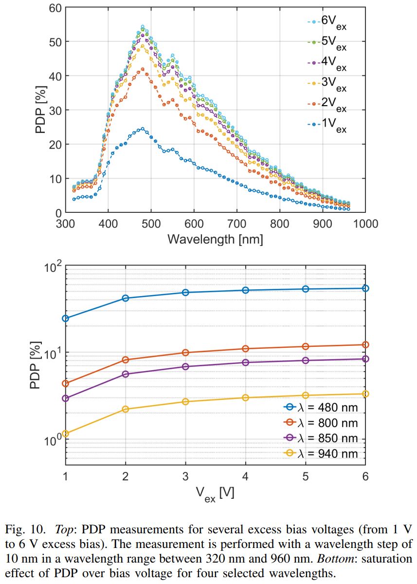
”单光子雪崩二极管 (SPAD) 已成为许多同时需要高灵敏度、低噪声和清晰定时性能的应用中的首选传感器。最近,采用 CMOS 技术设计的 SPAD 在这些参数方面取得了较好的性能,但永远无法与采用高度定制化、非标准技术制造的同类产品相提并论。支持 CMOS 兼容 SPAD 的论据是小型化、成本和可扩展性。在本文中,我们展示了第一个 CMOS SPAD,其性能与迄今为止最好的定制 SPAD 相当或更好。基于 SPAD 的设计,完全集成在 180 nm CMOS 技术中,在 480 nm 处实现了 55% 的峰值光子检测概率 (PDP),具有从近紫外 (NUV) 到近红外 (NIR) 的非常宽的光谱和 0.2 cps/μm^2 的归一化暗计数率 (DCR),均在 6V 的过偏压下。得益于专用的 CMOS 像素电路前端,在大约 3 ns 的死区时间内实现了约 0.1% 的后脉冲概率。我们设计了三个直径分别为 25、50 和 100 μm 的 SPAD,以研究尺寸对时序抖动的影响,并为 SPAD 创建标度律。对于这些 SPAD,在 6 V 过偏压下分别实现了 12.1 ps、16 ps 和 27 ps (FWHM) 的单光子时间分辨率 (SPTR)。SPAD 可在从 -65°C 到 40°C 的广泛温度范围内运行,在 -65°C 下的 25 μm 处,在 6 V 过量偏压下达到 1.6 mcps/μm^2 的归一化 DCR。均在 6V 的过偏压下。得益于专用的 CMOS 像素电路前端,在大约 3 ns 的死区时间内实现了约 0.1% 的后脉冲概率。我们设计了三个直径分别为 25、50 和 100 μm 的 SPAD,以研究尺寸对时序抖动的影响,并为 SPAD 创建标度律。对于这些 SPAD,在 6 V 过偏压下分别实现了 12.1 ps、16 ps 和 27 ps (FWHM) 的单光子时间分辨率 (SPTR)。SPAD 可在从 -65°C 到 40°C 的广泛温度范围内运行,在 -65°C 下的 25 μm 处,在 6 V 过量偏压下达到 1.6 mcps/μm^2 的归一化 DCR。均在 6V 的过偏压下。得益于专用的 CMOS 像素电路前端,在大约 3 ns 的死区时间内实现了约 0.1% 的后脉冲概率。我们设计了三个直径分别为 25、50 和 100 μm 的 SPAD,以研究尺寸对时序抖动的影响,并为 SPAD 创建标度律。对于这些 SPAD,在 6 V 过偏压下分别实现了 12.1 ps、16 ps 和 27 ps (FWHM) 的单光子时间分辨率 (SPTR)。SPAD 可在从 -65°C 到 40°C 的广泛温度范围内运行,在 -65°C 下的 25 μm 处,在 6 V 过量偏压下达到 1.6 mcps/μm^2 的归一化 DCR。和 100 μm 以研究尺寸对时序抖动的影响并为 SPAD 创建缩放定律。对于这些 SPAD,在 6 V 过偏压下分别实现了 12.1 ps、16 ps 和 27 ps (FWHM) 的单光子时间分辨率 (SPTR)。SPAD 可在从 -65°C 到 40°C 的广泛温度范围内运行,在 -65°C 下的 25 μm 处,在 6 V 过量偏压下达到 1.6 mcps/μm^2 的归一化 DCR。和 100 μm 以研究尺寸对时序抖动的影响并为 SPAD 创建缩放定律。对于这些 SPAD,在 6 V 过偏压下分别实现了 12.1 ps、16 ps 和 27 ps (FWHM) 的单光子时间分辨率 (SPTR)。SPAD 可在从 -65°C 到 40°C 的广泛温度范围内运行,在 -65°C 下的 25 μm 处,在 6 V 过量偏压下达到 1.6 mcps/μm^2 的归一化 DCR。”

[size=13.524px]

[size=13.524px]

[size=13.524px]

[size=13.524px]


回复

使用道具 举报

您需要登录后才可以回帖 登录 | 立即注册

本版积分规则

Archiver|手机版|小黑屋|大话成像技术论坛

GMT+8, 2026-2-6 13:08 , Processed in 0.121386 second(s), 22 queries .

Powered by Discuz! X3.4

Copyright © 2001-2021, Tencent Cloud.

快速回复 返回顶部 返回列表